導讀
交流電能表是我們在家庭用電與商業場所中常見的計量儀器,它的檢定用標準器被稱為交流電能表檢定裝置。2025年12月11日,新版JJG 597-2025《交流電能表檢定裝置檢定規程》即將正式實施,本文將重點解析該規程新舊版本的差異。
1 被檢對象——交流電能表檢定裝置
1.1 主要規格
交流電能表檢定裝置,是向被檢交流電能表提供電能并能測量此電能的器具的組合。除了常見的掛表架式電能表檢定臺體和電能表便攜式校驗裝置以外,目前電能表自動化試驗系統的數量也在日漸增加,成為一個新的趨勢。他們常見的規格如下表。

*圖 2-8 安裝式參考標準應用場景
1.2 標準體系
交流電能表檢定裝置相關標準體系如下表所示。

*表 1-2 交流電能表檢定裝置相關標準體系
2 新老規程對比解析
JJG 597-2025 《交流電能表檢定裝置檢定規程》預計將于2025年12月11日實施,替代舊規程JJG 597-2005 《交流電能表檢定裝置》。主要技術性變化如下:
2.1 適用范圍

*表 2-1新舊規程適用范圍對比
2.2 術語
新版規程相比舊版,增加了交流電能表自動化試驗系統、交流電能表自動化試驗系統電能計量檢定單元、控制量限、最大電流(Imax)、最大負載、最小負載、安裝式參考標準(表)的術語定義。
針對新增的檢定方法中提及的安裝式參考標準,規程做出如下定義:
安裝式參考標準能夠替換安裝式電子式交流電能表,在交流電能表自動化試驗系統的計量檢定單元上運轉的參考標準(表),準確度和穩定度滿足JJG 1085-2013的要求。

*圖2-1 現場圖
2.3 計量性能要求:基本誤差
在新版JJG 596-202X《安裝式交流電能表檢定規程》中,使用了最小電流、轉折電流的定義,并且新增了起動電流到最小電流的精度要求。相對應地,JJG 597-2025《交流電能表檢定裝置檢定規程》參考電能表的電流設置,將基本誤差按照不同電流范圍進行劃分。以常見的0.05級檢定裝置(λ=1)為例,其最大允許誤差如圖所示。具體分為兩種情況:單相交流電能表或三相直接接入式電能表檢定裝置(圖2-2)與三相經互感器接入電能表檢定裝置(圖2-3)。

*圖 2-2 單相與三相直接接入式檢定裝置最大允許誤差示意圖

*圖 2-3 三相間接接入式檢定裝置最大允許誤差示意圖

*圖 2-4 常見電能表規格

*圖 2-5 常見電能表銘牌

*圖 2-6 不同功率因數下最大允許誤差對比
2.4 計量性能要求:檢定裝置準確度等級
新版規程里刪除了對有功0.03級、有功0.3級和無功0.5級的計量性能要求。增加了對無功0.02級、0.05級、0.1級檢定裝置的計量性能要求。這一點在基本誤差、測量重復性、檢定裝置配套使用的標準電能表等級等內容中均有體現。

*圖2-7 新舊規程關于準確度等級的變化
2.5 計量性能要求:表位誤差與多路輸出一致性
2.5.1 檢定單元的要求
新版規程中明確提出:檢定單元對多路輸出一致性不做要求。其原因在于,對于電能計量檢定單元,因表位多、檢定量大,受到隔離互感器、同名端壓降等因素影響,其表位誤差不確定性較大。簡單來說,檢定單元通常無法滿足多路輸出一致性的要求。故對帶隔離互感器的檢定單元,每一路輸出的可靠性只用測量表位基本誤差進行考核。
在進行檢定單元多路(M路)輸出基本誤差測量時,檢定單元應懸掛安裝式參考標準或接入參考標準,選擇√M至M路輸出(應包含首末表位),測量其輸出的基本誤差。
其中提到的安裝式參考標準定義可參考2.2,它屬于一種新增的檢定方法,更適合計量檢定單元進行檢定和期間核查,實際應用場景可參考圖2-8。

*圖2-7 新舊規程關于準確度等級的變化
2.5.2 多路輸出的裝置的要求
對多路(M路)輸出的裝置檢定多路輸出一致性時,應選控制量限,各路接相同負載,分別在功率因數1、0.5L時,確定各路輸出(檢定時做不少于M路)的基本誤差是否符合規定,同時互相間基本誤差最大變化值應不超過最大允許誤差的30%。對比來看,多路輸出的裝置除了檢定表位誤差以外,還需要檢多路輸出一致性。而檢定單元只需要檢定√M至M路的表位誤差。
2.6 通用技術要求:標準電能表配置
在舊版規程中,檢定裝置有功測量的準確度等級與標準表有功測量的準確度等級相同,但實際上由于回路感抗、接觸電阻和引線電阻等帶來的影響,對于多路輸出的裝置或檢定單元,他們的準確度等級不能完全以標準表的準確度等級來確定,只是考慮到國內標準電能表廠家技術能力的限制,舊版規程適當放寬了等級要求。
經過十幾年的發展,國內標準電能表廠家技術能力有很大提升,高精度標準電能表(0.02級、0.05級、0.1級)已經普及。考慮到目前的實際執行情況,提高了對有功0.05級、0.1級和0.2級檢定裝置配套的標準電能表的準確度等級要求。并且新規程實施前使用的0.05級及以下檢定裝置配套的標準電能表,可以比規定低一個等級,即參考舊版規程規定。

*圖 2-9 新舊規程關于標準電能表準確度等級對比
2.7 通用技術要求:標準時鐘(時刻)測試儀(裝置)
考慮到新版JJG 596-202X規程對電能表在原日計時誤差檢定的基礎上增加了時鐘時刻誤差檢定,故新版JJG 597-2025規程增加了對于檢定裝置配套的標準時鐘(時刻)測試儀(若有)的規定,要求其應滿足JJF 1662-2017中日計時誤差和時鐘時刻誤差的標準。
2.8 參考標準
新規程增加關于電能參考標準的規定:當電能參考標準不滿足被檢裝置最大允許誤差1/3時,需加修正值。例如檢0.05級的檢定裝置至少選擇0.02級的電能參考標準,且應加修正值,考慮到準確性與便捷性,此時最好選擇0.01級的電能參考標準。

*表 2-2 JJG 597-2025 電能參考標準的準確度等級
2.9 檢定項目
由于技術進步和原理改變,在舊版規程中的21個檢定項目在新版規程中刪除9個。各項目刪除原因可見表2-3。

*表 2-3 刪除項目說明
2.10 適應現行法規的修改內容
因國家取消了電能表檢定裝置的型式評價行政許可,因此新規程外觀部分刪除了“制造計量器具許可證標志及編號”要求。
由于JJF 1002-2010明確要求檢定規程不應包含型評大綱,故刪除舊規程中的附錄A交流電能表檢定裝置型式評價大綱。
2.11 檢定環境

*表 2-4 新舊規程檢定環境對比
2.12 附錄
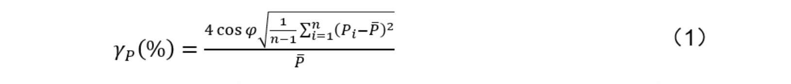
舊規程對于功率穩定度有兩種計算方法,一種為統計方法,按照式(1)計算。

另一種為簡化的峰-峰值功率穩定度估算法,記載于附錄B中,按照公式(2)計算。

新版規程僅保留了正文中的統計方法,刪除了附錄B中的“簡化的峰-峰值功率穩定度估算法”,實現了功率穩定度算法的統一,保證了測量結果的一致性、可比性。
2.13 檢定周期

*表 2-5 新舊規程檢定周期對比
3 天恒檢定方案

*圖3-1 天恒交流電能溯源體系
湘公網安備43012102001074號 湘ICP備08101143號-2 Designed by300.cn 網站地圖 地址:湖南省長沙經濟技術開發區盼盼路16號
在線商城